您好!欢迎来到阿尔法
中文
English
产品搜索
CAS号搜索
MDL号搜索
结构式搜索
批量搜索
首页
阿尔法
产品中心
荣誉资质
新闻动态
联系我们
客服热线
:
18137790334
Toggle navigation
首页
阿尔法
产品中心
荣誉资质
新闻动态
联系我们
首页
>
产品中心
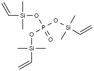
三(乙烯基二甲基硅基)磷酸酯
Tris(vinyldimethylsilyl)-phosphate
113419-25-3
产品编号.:
A419253
CAS号:
113419-25-3
分子式:
C
12
H
33
O
7
PSi
3
分子量:
404.62
纯度:
98%
MDL NO.:
产品询价
产品详情
COA&MSDS
中文名称:三(乙烯基二甲基硅基)磷酸酯
CAS号:113419-25-3
中文别名:
英文名称:Tris(vinyldimethylsilyl)-phosphate
英文别名:
EINECS:
分子式:C12H33O7PSI3
分子量:404.62
搜索质检报告(COA)
搜索
搜索MSDS
搜索
相关产品
1-羟基-6-氧代-1,6-二氢吡啶-2-羧酸
10-苯基-2-硼酸频那醇酯-10H-螺[吖啶-9,9'-芴]
6-溴-2-氯-3-氟苯胺
2-环己烯-1-醇
3-氯-1H-吡咯-2-羧酸甲酯
3-甲基-3H-双吖丙啶-3-丙酸
三(乙烯基二甲基硅基)磷酸酯
乙酰氧基乙基三甲氧基硅烷
×
大包装询盘
CAS NO
包装规格
纯度
数量
期望价格
单位名称
产品名称
联系人
联系电话
电子邮件
备注
验证码
请填写图片中的字符
已经到最底了
客服电话:
18137790334
专业品质
急速物流
贴心服务
订购指南
如何订购
大包装询价
销售条款
付款模式
参考资料
质检证书(COA)
产品安全说明书(MSDS)
RS风险术语
GHS危险说明
产品线下载
服务支持
配送发货
运费说明
收货需知
发票说明
退换货政策
企业信息
公司简介
联系我们
新闻中心
人才招聘
联系我们
河南省郑州市二七区祥云路1号正商航海广场A座2202室
18137790334
alfachem@163.com
批量搜索
关闭
批处理可以通过CAS号,CAS号,每行一个搜索
三(乙烯基二甲基硅基)磷酸酯
确定